{{ 'fb_in_app_browser_popup.desc' | translate }} {{ 'fb_in_app_browser_popup.copy_link' | translate }}

{{ 'in_app_browser_popup.desc' | translate }}

海藻糖|天然提煉|保濕鎖水|肌膚防禦

海藻糖|天然提煉|保濕鎖水|肌膚防禦

市面上「保濕品」相當多,除了耳熟能詳的「玻尿酸」,近期風靡的「海藻糖」也常用作保養品成份之一,其保濕、修復、鎖水效果佳!更因親膚、不油膩更多被使用在眼露眼霜之產品。

產品詳述
• 可添加於保濕型、防護型產品
• 保護肌膚減緩環境傷害,天然提煉的保濕成分
• 保護皮膚不受外在(乾燥、高低溫)破壞

成份:Trehalose
製作建議比例:1-7%

▼推薦商品:de蝸牛柔嫩緊緻眼露(內含海藻糖)


全店,單筆消費滿$4000即享免運(配送地區僅限台灣本島)

{{ productService.variationPriceMemberTag(variationSelected) }}
{{shoplineProductReview.avg_score}} {{'product.product_review.stars' | translate}} | {{shoplineProductReview.total}} {{'product.product_review.reviews' | translate}}
{{amazonProductReview.avg_rating}} {{'product.product_review.stars' | translate}} | {{amazonProductReview.total_comment_count}} {{'product.product_review.reviews' | translate}}
{{ title.name_translations | translateModel }} : {{variationName[$index] | translateModel}}
數量
加入追蹤清單
一次最大商品購買數量限制為 99999
該數量不適用,請填入有效的數量。
售完

商品存貨不足,未能加入購物車

您所填寫的商品數量超過庫存

{{'products.quick_cart.out_of_number_hint'| translate}}

{{'product.preorder_limit.hint'| translate}}

每筆訂單限購 {{ product.max_order_quantity }} 件

現庫存只剩下 {{ quantityOfStock }} 件

若想購買,請聯絡我們。
加入追蹤清單
商品描述
送貨及付款方式
顧客評價
商品描述

 

產品詳述
市面上「保濕品」相當多,除了耳熟能詳的「玻尿酸」,近期風靡的「海藻糖」也常用作保養品成份之一,其保濕、修復、鎖水效果佳!
更因親膚、不油膩、不黏膩優點,更多被使用在眼露、眼霜產品。
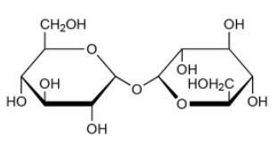
海藻糖(Trehalose)是由兩個葡萄糖單元以α,1-1鍵結而成的雙醣(非還原糖),也被稱為生命之糖,更因為保濕效果不輸玻尿酸,又被稱作植物性玻尿酸。
海藻糖結構式:


海藻糖優點:
  • 水溶性極佳:100g的水在20℃環境下,可以溶解68.9g的海藻糖,所以十分方便DIY操作,不須費心溶解。
  • 穩定性極佳:海藻糖本身十分穩定,不容易受到配方中成分影響,所以廣泛的被應用於各種產品中。
  • 增強肌膚保護力:海藻糖保水力能在皮膚角質層發揮保水的效果。同時可促進角質層細胞間脂質的片狀結構形成,
    也有强化角質層屏障功能的效果,達到提升肌膚對環境傷害的防護能力,減少受到環境因素的影響。
  • 保濕功能:海藻糖是由兩個葡萄糖以α1-1結合而成的非還原性雙糖,與其他雙糖相比具有更好的保水力。
    可類似肌膚中天然保濕因子的作用,使肌膚保持濕潤及柔軟,且在較高的濃度下,也不會有嚴重的黏膩感。
  • 安全性高:美國FDA對海藻糖有發布GRAS的通知,表示海藻糖在普遍預期的用途下是被充分認為安全的原料。安全性認證
  • 參考EWG網站,海藻糖評分為1-綠色:在各方面都是無~低危害的狀況
  • 多種用途:海藻糖的簡易多用途DIY:保濕化粧水、精華液、面霜、乳液、面膜液、防曬遮陽產品等喔!只需將海藻糖溶於水中,就可以加入使用。

接著來教大家製作一款「又天然又無黏膩感」的海藻糖保濕精華吧!

DIY教學】

 海藻淨化保濕精華 DIY 

雙重保濕,雙重滋潤,兼具保濕與修護,補給肌膚的水份

1.       海藻萃取膠   2.5ml

2.       小黃瓜萃取液   2.5ml

3.       海藻醣   7g

4.       甘油   2.5ml

5.       玻尿酸1%  1ml

6.       保加利亞玫瑰花水   79ml

7.       速成透明膠 1茶匙(5ml)

8.       抗菌劑  0.2-0.3ml

【準備器材】計量尺、量杯、塑膠滴管、攪拌捧、刮刀、燒杯、保鮮膜、乾淨空瓶。

【作法】

1. 先取出海藻醣預溶於少量水中攪拌至透明晶體完全溶解。

2. 入燒杯中,依序加入入法1預溶的海藻醣、海藻萃取液、小黃瓜萃取液、甘油稍加攪拌,

再加入抗菌劑和速成透明膠以慢速攪拌均勻,封上保鮮膜靜置半天後裝入乾淨空瓶中,使用前搖晃均勻即可。

【產品特性】富含多種礦物質及胺基酸,能活化調理膚質,使肌膚緊緻有光澤,補充肌膚養分及水分,調節

皮膚油脂,具有保濕、滋潤作用,深層淨化。

【適用膚質】各種膚質

【使用方法】取適量(約10元硬幣大小),每日早晚輕抹於臉部至完全吸收即可。

【保存方式】放置於陰涼處避光保存。

【參考出處】※省錢保養大作戰

使用方式 用途/用法:供添加、調製化粧品用。
保養品製作建議比例:1-7%

注意事項 ※ 禁止用於食品
※ 請密封避光保存放至陰涼處
※ 本產品僅供外用,使用後皮膚若感不適,請停止使用
※ 請依個人肌膚狀況調整產品比例或請參考相關書籍
※ 避光保存於陰涼處,保持瓶蓋確實關緊,並請遠離火源
※ 避免直接接觸眼睛,一旦接觸,請立即以大量清水沖洗
※ 依化粧品衛生管理條例規定,化粧品應由合法設立之化粧品工廠製造,個人自行製作之化粧品僅限自用,不得售予他人


送貨及付款方式

送貨方式

  • 順豐速運 (跨境)中國配送【運費到付】
  • 順豐速運 (跨境)配送
  • 7-11 取貨不付款 (單筆限重4kg)
  • 7-11 取貨付款 (單筆限重4kg)
  • 全家 取貨不付款 (單筆限重4kg)
  • 全家 取貨付款 (單筆限重4kg)
  • 黑貓-常溫(單筆限重20kg)
  • 黑貓-常溫(貨到付款)(單筆限重20kg)
  • 新竹物流-常溫
  • 總公司自取(桃園市龜山區)
  • 大榮貨運 (單筆超過20kg以上商品)
  • 【跨境】7-11門市取貨不付款(單筆限重4KG)(送貨天數依照當地派送為主)※請務必詳細閱讀注意事項
  • 香港、澳門配送
  • 亞洲其他國家(地區)配送
  • 美國、加拿大配送
  • 澳大利亞配送

付款方式

  • 信用卡支付
  • Apple Pay
  • LINE Pay
  • 7-11(取貨付款)
  • 全家(取貨付款)
  • 黑貓宅配(貨到付款)
顧客評價
{{'product.product_review.no_review' | translate}}

相關產品