{{ 'fb_in_app_browser_popup.desc' | translate }} {{ 'fb_in_app_browser_popup.copy_link' | translate }}

{{ 'in_app_browser_popup.desc' | translate }}

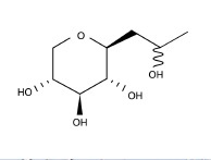
羥丙基四氫吡喃三醇|黑繃帶功效成分|玻特因|抗老澎彈

羥丙基四氫吡喃三醇|黑繃帶功效成分|玻特因|抗老澎彈

產品詳述
• 具保持肌膚水分、修護肌膚屏障
• 維持肌膚正常功能、維持肌膚彈性光澤
• 減緩肌膚老化鬆弛、淡化細紋
• 可用於製作保養品中

成份:Water, Hydroxypropyl Tetrahydropyrantriol, 1,2-Hexanediol, Pentylene glycol
製作建議比例:1-30%


全店,單筆消費滿$4000即享免運(配送地區僅限台灣本島)

{{ productService.variationPriceMemberTag(variationSelected) }}
{{shoplineProductReview.avg_score}} {{'product.product_review.stars' | translate}} | {{shoplineProductReview.total}} {{'product.product_review.reviews' | translate}}
{{amazonProductReview.avg_rating}} {{'product.product_review.stars' | translate}} | {{amazonProductReview.total_comment_count}} {{'product.product_review.reviews' | translate}}
下單後約2-5個工作日出貨(不含例假日)
{{ title.name_translations | translateModel }} : {{variationName[$index] | translateModel}}
數量
加入追蹤清單
一次最大商品購買數量限制為 99999
該數量不適用,請填入有效的數量。
售完

商品存貨不足,未能加入購物車

您所填寫的商品數量超過庫存

{{'products.quick_cart.out_of_number_hint'| translate}}

{{'product.preorder_limit.hint'| translate}}

每筆訂單限購 {{ product.max_order_quantity }} 件

現庫存只剩下 {{ quantityOfStock }} 件

若想購買,請聯絡我們。
加入追蹤清單
商品描述
送貨及付款方式
顧客評價
商品描述
產品詳述 肌膚老化原因:
隨著年齡增長及紫外線照射、氧化損傷等原因,使肌膚的自然老化加速。
肌膚中的基質成分會減少、營養輸送變慢、肌膚含水率降低、光澤彈性變差、細紋開始產生


羥丙基四氫吡喃三醇:
早期來源為植物山毛櫸中的木糖提取出來的糖蛋白混合物,現今多採用人工合成的方式取得,

分子量:192
CAS:439685-79-7
溶解度:水溶性
濃度:28.5-31.5%
具保持肌膚水分、修護肌膚屏障、維持肌膚正常功能、維持肌膚彈性光澤、減緩肌膚老化鬆弛、淡化細紋,可用於製作保養品中。

簡單DIY應用:
鎖水繃帶抗皺精華水
羥丙基四氫吡喃三醇:20g
水:可用花水替換:78g
1,2-己二醇:2g:傳送門
【作法】
將原料混合均勻即可。
<更多DIY配方可以參考工具書專區>
主成份 水/羥丙基四氫吡喃三醇/1,2-己二醇/戊二醇(Water, Hydroxypropyl Tetrahydropyrantriol, 1,2-Hexanediol, Pentylene glycol)
使用方式 用途/用法:供添加、調製化粧品用。
保養品製作建議比例:1-30%
注意事項 ※ 禁止用於食品
※ 請密封避光保存放至陰涼處
※ 本產品僅供外用,使用後皮膚若感不適,請停止使用
※ 請依個人肌膚狀況調整產品比例或請參考相關書籍
※ 避免直接接觸眼睛,一旦接觸,請立即以大量清水沖洗
※ 依化粧品衛生管理條例規定,化粧品應由合法設立之化粧品工廠製造,個人自行製作之化粧品僅限自用,不得售予他人

送貨及付款方式

送貨方式

  • 順豐速運 (跨境)中國配送【運費到付】
  • 順豐速運 (跨境)配送
  • 7-11 取貨不付款 (單筆限重4kg)
  • 7-11 取貨付款 (單筆限重4kg)
  • 全家 取貨不付款 (單筆限重4kg)
  • 全家 取貨付款 (單筆限重4kg)
  • 黑貓-常溫(單筆限重20kg)
  • 黑貓-常溫(貨到付款)(單筆限重20kg)
  • 黑貓-冷藏(單筆限重20kg)
  • 新竹物流-常溫
  • 黑貓-冷藏(貨到付款) (單筆限重20kg)
  • 總公司自取(桃園市龜山區)
  • 大榮貨運 (單筆超過20kg以上商品)
  • 【跨境】7-11門市取貨不付款(單筆限重4KG)(送貨天數依照當地派送為主)※請務必詳細閱讀注意事項
  • 香港、澳門配送
  • 亞洲其他國家(地區)配送
  • 美國、加拿大配送
  • 澳大利亞配送

付款方式

  • 信用卡支付
  • Apple Pay
  • LINE Pay
  • 7-11(取貨付款)
  • 全家(取貨付款)
  • 黑貓宅配(貨到付款)
顧客評價
{{'product.product_review.no_review' | translate}}

相關產品